Horbury Crescent

CATEGORY:
Location:
Horbury Crescent W11
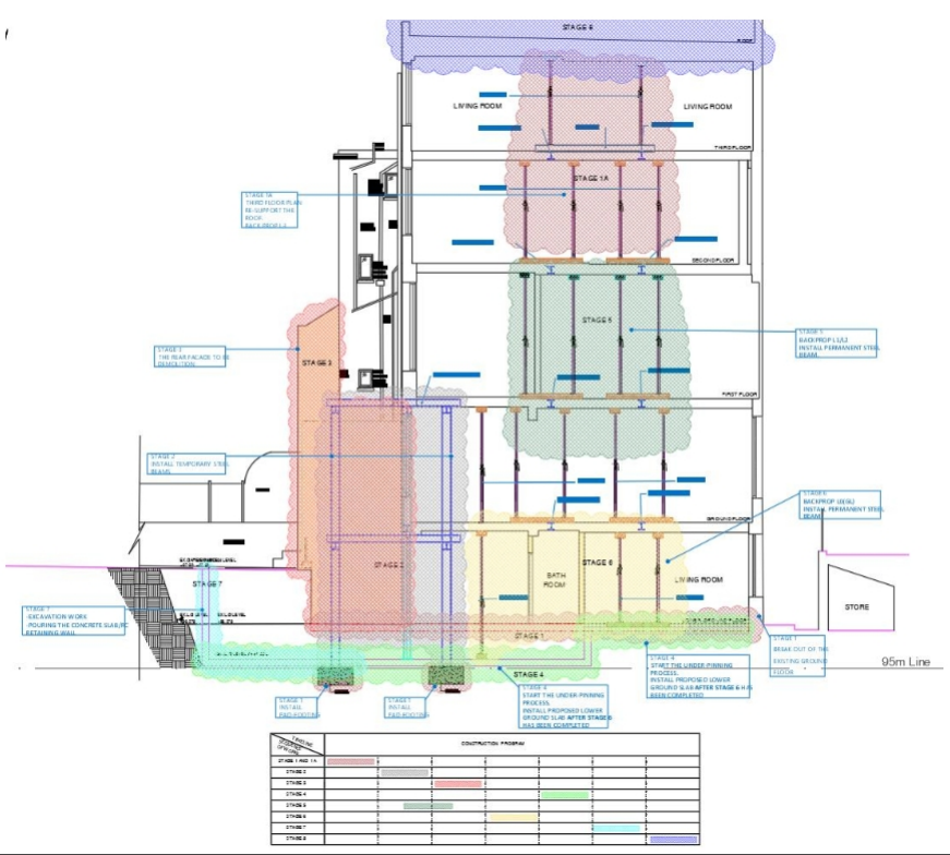
Survey, design intent and sequencing for:
1.Temporary works to support floors, walls, and façade during demolition/opening works.
2.Break out of existing intermediate floors (localised and full areas as required by the new stair void).
3.Formation of a new rear wall opening (goalpost/box frame insertion).
4.Installation of temporary beams, needles and propping/back-propping.
5.New permanent steel staircase (basement → ground → first → second → third) including landings, fixings, and interface with structure/fire strategy.
